Diffusivité thermique
La diffusivité thermique est la grandeur physique qui caractérise la capacité d’un matériau à transmettre un signal de température d’un point à un autre de ce matériau. Elle est souvent désignée par les lettres a, D ou la lettre grecque α (alpha) et est exprimée, dans le système international d’unités, en mètre carré par seconde (m²/s).
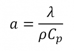
Elle dépend de la capacité du matériau à conduire (conductivité thermique) et à stocker (capacité thermique) la chaleur :
avec :

Equation Diffusivité thermique
λ, la conductivité thermique du matériau, exprimée en W.m-1.K-1
ρ, la masse volumique du matériau, exprimée en kg.m-3.
Cp, la capacité thermique massique du matériau, exprimée en J.kg-1.K-1.